Shophouse Grand World Phú Quốc - Shophouse Vinpearl Phú Quốc
Gần đây, thị trường BĐS nghỉ dưỡng lại lên cơn “tái sốt” khi CĐT New Vision cùng cổ đông chiến lược Vinpearl cho ra mắt thị trường sản phẩm Shop Grand World Phú Quốc. Với quy hoạch bài bản, vị trí đắc địa tại Corona Resort & Casino và sự quản lý vận hành chuyên nghiệp của Vincom Retail, sản phẩm hứa hẹn sẽ trở thành “con át chủ bài” của dự án, trở thành tâm điểm khuấy động thị trường bất động sản nghỉ dưỡng đảo ngọc.
Phối cảnh shophouse Grand World Phú Quốc
Đến đây, nhà đầu tư có thể khám phá 15 điểm check-in như kênh đào Venice, công viên tình yêu, cổng lâu đài, điểm biểu diễn Water show hay bảo tàng Gấu Teddy, show diễn thực cảnh, lễ hội Carnival đường phố hay tiệc âm nhạc tại Quảng trường Biển...
Chính sách bán hàng Shophouse Grand World Phú Quốc
♦ Chỉ cần vốn ban đầu 35% sở hữu ngay Shop Grand World Phú Quốc.
♦ Hỗ trợ vay 60% với lãi suất 0% đến khi bàn giao. Ân hạn gốc và miễn phí trả nợ trước hạn trong thời gian hỗ trợ LS. Ân hạn gốc tiếp thêm 24 tháng.
♦ Sở hữu quần thể tiện ích 5 sao đồng bộ của Vinpearl: Vinpearl Land, Safari…
♦ Kỳ vọng TĂNG GIÁ MẠNH trong tương lai.
♦ Hỗ trợ chi trả tiền thuê Shop 10%/2 năm /giá bán Shop (trước VAT)
Tổng quan Shop Grand World Phú Quốc:
♦ Vị trí: Bãi Dài, xã Gành Dầu, huyện Phú Quốc, tỉnh Kiên Giang.
♦ Diện tích đất: 91,495.52 m2;
♦ Tổng số: 979 căn shophouse
♦ Quy hoạch 4 khu chính: Shop Quảng Trường, Shop Sanghai Town, Shop Indochina, shop Mallorca
♦ Diện tích: 80-120m2
Vị trí Shophouse Grand World
Vị trí là yếu tố đặc biệt quyết định 80% sự thành công và sinh lời của một sản phẩm bất động sản. Grand World Phú Quốc sở hữu vị trí vàng xứng tầm cho một kiệt tác BĐS nghỉ dưỡng với hơn 600m bờ biển Bãi Dài, một trong 20 bãi biển đẹp và hoang sơ nhất châu Á được CNN vinh danh.
Vị trí shop Grand World trong quần thể Vinpearl Phú Quốc
Dự án còn kết hợp với khu nghỉ dưỡng phức hợp Vinpearl Phú Quốc và Corona Resort & Casino Phú Quốc kế bên để tạo thành một đại quần thể Du lịch Nghĩ dưỡng, Vui chơi Giải trí, Thương mại Dịch vụ và mua sắm hàng đầu tại Đảo Ngọc. Liền kề với “thỏi nam châm” hút khách mang tên Casino Corona, casino đầu tiên tại Việt Nam được cấp phép cho người Việt vào chơi!
Giá bán Shophouse Grand World Phú Quốc
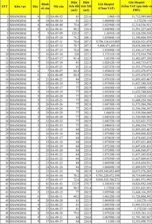
Giá bán phân khu Shanghai Shophouse Vinpearl Phú Quốc
Lý do bạn nên sở hữu shop Grand World
Không khó để nhận thấy rằng, các khu nghỉ dưỡng trên thế giới luôn có được lợi thế cạnh tranh đặc biệt nhờ sự xuất hiện của Casino.
Bảng tính dòng tiền đầu tư Shop Grand World Phú Quốc
Các căn Shop tại Grand World sở hữu lợi thế “2 business in 1”, ưu điểm lớn nhất của Shop thương mại Grand World là tiềm năng kinh doanh buôn bán nhờ sức hút khổng lồ của Casino và tiềm năng của một quần thể nghỉ dưỡng phức hợp. Không chỉ vậy, nhờ vị trí nằm trong khu nghỉ khu nghỉ dưỡng liền sát với Casino đầu tiên tại Đảo Ngọc, Shop thương mại Grand World còn sở hữu tiềm năng tăng giá phi mã. Như vậy dù là để kinh doanh hay bán lại thì các chủ sở hữu Shop tại đây đều thu được lợi ích to lớn.
Mặt bằng Shophouse Grand World
Shophouse Grand World chia làm 4 phân khu, số tầng nổi các khu Shop: 4 tầng + 1 tum
♦ Khu Shop Quảng trường: Quy hoạch ngành hàng: Đồ thủ công mỹ nghệ, đồ lưu niệm, Thời trang (đồ biển, casual, phụ kiện đi biển…)
♦ Khu Shop Shanghai Town:Phong cách kiến trúc Thượng Hải. Quy hoạch ngành hàng: Đồ lưu niệm, đồ ăn Trung Quốc, Thượng Hải, Đài Loan, chợ ẩm thực (hải sản tươi sống, gia vị, …)
Mặt bằng shop Grand World
♦ Khu Shop Indochina: Phong cách kiến trúc Đông Dương. Quy hoạch ngành hàng: Ẩm thực đường phố (các món đặc trưng của Việt Nam và Thế Giới), Nail & Hair Salon, Thời trang, …
♦ Khu Shop Mallorca: Phong cách kiến trúc Địa Trung Hải. Quy hoạch ngành hàng: Bar, café, nhà hàng Châu Âu, đồ ăn nhanh, ăn nhẹ, Spa cao cấp, thời trang, đồi bơi, dụng cụ bơi (lướt ván, thể thao bãi biển…)


2019-05-13 04:14:18


